Skip to Main Content
Hawaii.gov
An official website of the
State of Hawaiʻi
Search for:
Search for:
Established by Prince Kūhiō & the U.S. Congress
Department of Hawaiian Home Lands
Home
About
Current Projects
Offers & Awards
Newsroom
Media Releases
Public Notice
DHHL In the News
Annual Reports
Contact Us
Home
/
Asset Management
/
Rights of Entry
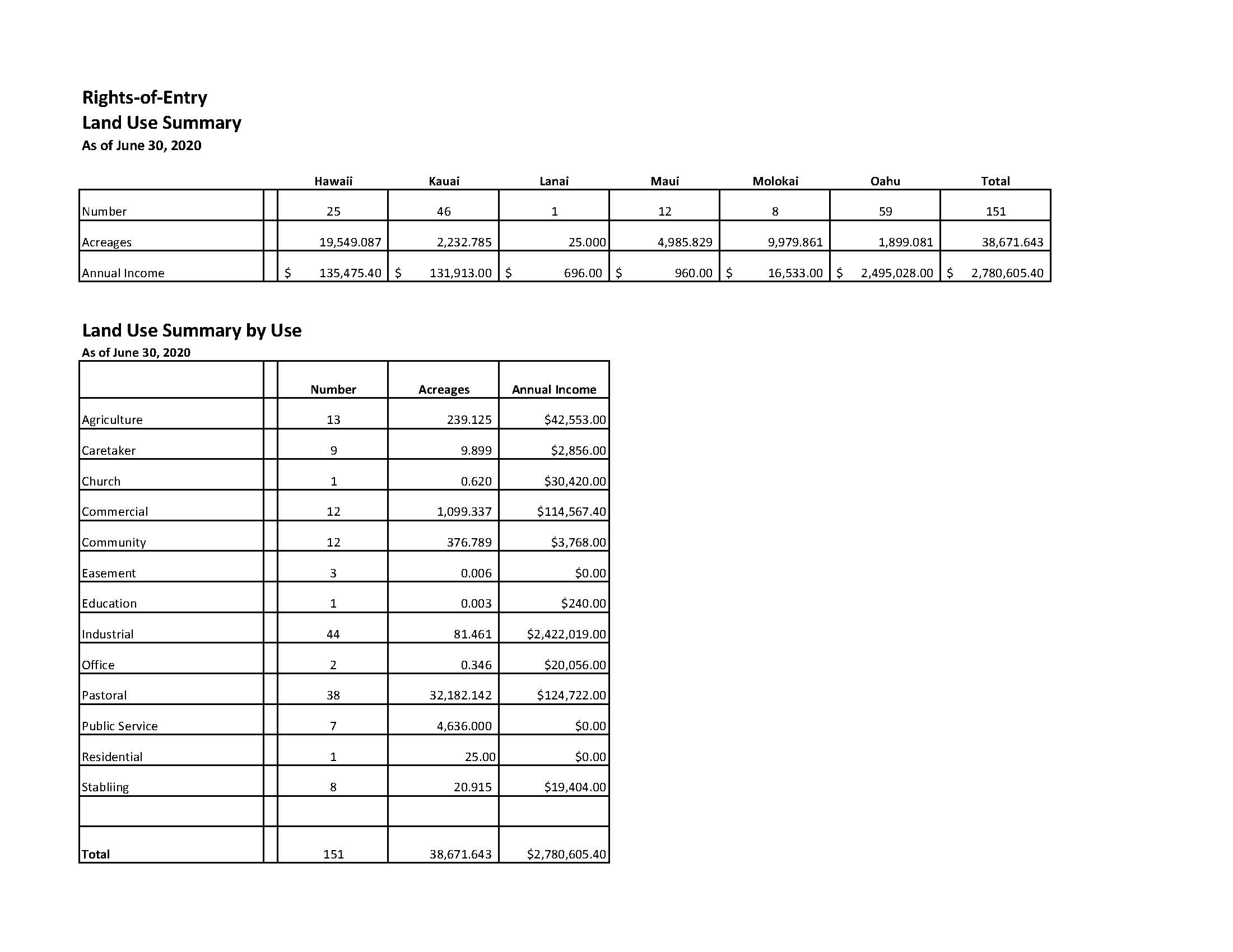
List of Rights of Entry (as of June 30, 2020)